Rpp Usaha Sma
RPP 2 Kelas X. 6x45 menit 3xPertemuan I.
RPP EKONOMI SMA X kd 35 1.

Rpp usaha sma. XII Petemuan ke. RPP HAKIKAT FISIKA DAN PROSEDUR ILMIAH 2. Menghayati dan mengamalkan ajaran agama yang dianutnya KI 2.
KKM Al-Quran Hadist SMA Kurikulum 2013 Revisi 2021 terdiri dari KKM Al-Quran Ha Read more KKM Al-Quran Hadist MA Kurikulum 2013 Revisi 2021. RPP GERAK LURUS 5. X Ganjil Materi.
Melalui presentasi dan kegiatan percobaan siswa dapat menghayati dan mengamalkan ajaran agama yang dianutnya menunjukkan perilaku yang mandiri dan mampu bekerjasama serta dapat mengembangkan budaya literasi. Usaha dan Energi Alokasi Waktu. Menjelaskan pengertian BUMN dan BUMD Menjelaskan peran BUMN dan BUMD dalam.
SMA Negeri Mata Pelajaran. RPP 1 LEMBAR. RPP 3 Kelas X.
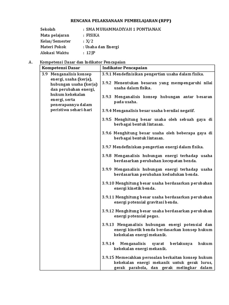
KOMPETENSI DASAR v Menganalisis. Karakteristik kewirausahaan dalam menjalankan kegiatan usaha. RPP USAHA dan ENERGI.
Tujuan Pembelajaran Setelah mengikuti proses pembelajaran peserta didik diharapkan dapat. RENCANA PELAKSANAAN PEMBELAJARAN Satuan Pendidikan Mata Pelajaran Kelas Semester Tahun Pelajaran Alokasi Waktu. Kumpulan RPP Kurikulum 2013 dan KTSP.
Berikut ini saya bagikan RPP Mata Pelajaran Fisika Kelas X Kurikulum 2013 Revisi 2016 Semester 1 dan 2 buatan teman saya. Rpp usaha dan pesawat sederhana ini terdiri dari 3 pertemuan dengan materi yang disesuaikan dengan materi essensial pembelajaran masa darurat. RPP GERAK PARABOLA 6.
View RPP Badan Usahadocx from EKONOMI 10138 at SMAN 3 Pekanbaru. Tujuan Pembelajaran30 4 4Tentukan energi potensial benda yang massanya 0-----x 100 Skor maksimum 1 1Siswa dapat memformulasikan hubungan antara gaya energi usaha dan daya ke dalam bentuk persamaan melalui percobaan sederhana dengan tepat 2. Usaha menghasilkan perubahan energi kinetic.
Evaluasi Hasil Usaha Kerajinan dengan Inspirasi ArtefakObjek Budaya Lokal. RENCANA PELAKSANAAN PEMBELAJARAN RPP DARING MASA PANDEMI COVID-19 SMA NEGERI 2 PEKALONGAN TAHUN PELAJARAN 20202021 Mata Pelajaran PKWU REKAYASA Materi Pokok Langkah langkah penyusunan rencana usaha KelasSemester XI Gasal 20202021 Alokasi Waktu 3 x 60 menit Kompetensi Dasar 31. Contoh rpp ekonomi badan usaha 1.
18 x 45 menit 6 x pertemuan A Kompetensi Inti KI 1. Sistem produksi produk. SMA SMA NEGERI 2 PLUS PANYABUNGAN Mata Pelajaran.
Kompetensi Inti KI KI3. Contoh rpp ipa pesawat sederhana kurikulum 2013. RPP Penerapan Rangkaian Elektronika Kelas XI 25 Februari 2021.
RPP PKWU atau Prakraya dan Kewirausahaan SMA Kurikulum 2013 Revisi 2016 sebagai perangkat pembelajaran yang dapdat mebantu guru dalam menyajikan proses Kegiatan Belajaran Mengajar yang membuat siswa dapat mengikuti pembelajaran dengan baik selain itu Rencana Pelaksanaan Pembelajaran ini dapat membantu guru untuk menyampaikan segala keterampilannya kepada siswa. 6 X 45 MENIT A. Siswa dapat menunjukkan kaitan usaha dengan perubahan.
SMA Negeri 74 Mata Pelajaran. RENCANA PELAKSANAAN PEMBELAJARAN RPP Sekolah. Melalui pendekatan scientific siswa mampu menerapkan hukum kekekalan energi dalam kehidupan sehari-hari dan merancang serta melakukan percobaan.
Download RPP Ekonomi Kls X SMAMA K13 Materi Badan Usaha Dalam Perekonomian Indonesia Semester Genap Semester 2 tahun pelajaran 20192020 ini memiliki Tujuan Pembelajaran sebagai berikut. Rpp ekonomi daring kelas x disukai 1x diunduh 1082x dilihat 1315x. SMKMAK 11 Teknik Elektronika.
RENCANA PELAKSANAAN PEMBELAJARAN RPP Sekolah. Hukum Kekekalan EnergiEnergi tidak dapat diciptakan dan juga tidak dapat dimusnahkan tetapi hanya dapat diubah dari satu bentuk ke bentuk yang lainJumlah energi potensial dengan energi kinetik disebut energi mekanik EM. Bank Lembaga Keuangan Bukan Bank OJK dan Bank Sentral Alokasi Waktu.
STANDAR KOMPETENSI Menganalisis gejala alam dan keteraturannya dalam cakupan mekanika benda titik. RPP USAHA dan ENERGI terdiri dari Definisi usaha secara fisis berbeda dengan pengertian usaha dalam kehidupan sehari-hariEnergi dan usaha saling berkaitan. Yang bisa digunakan untuk melengkapi administarsi guru yang dapat di unduh secara gratis dengan menekan tombol download.
Contoh Rpp Sma 1 Lembar Idsch Id. View RPP KELAS XI SEMESTER 1 KUR 2013 Usaha dan Energi docx from FISIKIA 1323 at SMAN 96 JAKARTA. RPP GERAK MELINGKAR Semester.
Blog Kumpulan RPP RPP 1 Lembar RPP STEM RPP Abad 21 Perangkat Pembelajaran Buku Kerja Guru. RPP 11 Kelas X. RENCANA PELAKSANAAN PEMBELAJARAN Sekolah.
Pada versi pertama yakni rpp k13 ekonomi kelas 10 yang masih menggunakan revisi. Rpp ekonomi materi badan usaha dalam perekonomian indonesia. Hal ini dapat dinyatakan pada persamaan berikut.
Ekonomi Kelas Semester. RPP 1 Kelas X. Rpp 1 lembar daring.
Prinsip kerja pesawat sederhana pada saat seseorang mengangkat barbel adalah. X2 Alokasi Waktu. SMAMA 10 Biologi Disukai Diunduh.
SMA Mata Pelajaran. Selain itu juga terdapat materi pembelajaran terpisah. Berikut ini adalah RPP Fisika 1 lembar dengan materi Usaha dan Energi pertemuan pertama kelas X SMA secara daring dengan media Google Meet dan Sanggar Belajar.
Memahami menerapkan menganalisis pengetahuan faktual konseptual prosedural berdasarkan rasa ingin tahunya tentang ilmu pengetahuan teknologi seni. Berikut ini adalah contoh. RPP USAHA DAN ENERGI.
Perencanaan usaha produk teknologi transportasi dan logistik. I Materi Pokok. Skip to content Skip to sidebar Skip to footer KURIKULUM 2013.
Usaha dan Energi Sub Materi Pokok. RENCANA PELAKSANAAN PEMBELAJARAN RPP Sekolah.

Rpp Sma Hukum Kekekalan Energi Mekanik Kurikulum 2013

4 Sma Kelas Xi Rpp Kd 3 3 Dan 4 3 Usaha Karlina 1308233 Final

Rpp K13 Ppkn Kelas Xi Sma Sederajat Revisi Terbaru Belajar Kurikulum Pendidikan
![]()
Doc Rpp Usaha Dan Energi Annisa Noviari Putri Academia Edu

Rpp 1 Lembar Prakarya Wirausaha Aspek Pengolahan Kelas 12 Sma Ma Semester 1 Antapedia Com

Contoh Rpp Ekonomi Badan Usaha
![]()
Pdf Rencana Pelaksanaan Pembelajaran Rpp 1 Rivan Zaelani Academia Edu
![]()
Doc Rpp Usaha Dan Energi Keynahkhun Hasna Academia Edu

Rencana Pelaksanaan Pembelajaran Rpp Sekolah Sma N 1 Semarang Mata Pelajaran Bahasa Inggris Wajib Kelas Semester Perfect Tense Present Perfect Tenses

Rpp Usaha Energi Kelas Xi Sem 1







