Rpp Matematika Kelas 5 Fpb
Jadi kamu gak usah khawatir kalau nanti kamu kesulitan dalam mengerjakan soal matematika kelas 4 SD dengan materi FPB dan KPK ini. RPP Matematika Kelas 1 Semester 2 SDMI.
Rpp Matematika Kelas 4 Semester 1 Kpk Dan Fpb Pestcare Jakarta
Untuk itu disini kami akan membagikan RPP MTK Revisi 2020 SD Kelas 4 Revisi 2020 secara gratis.

Rpp matematika kelas 5 fpb. RPP MATEMATIKA KELAS 5 SD MODEL TEAM QUIZ. Kompetensi Dasar dan Indikator Pencapaian Kompetensi Kompetensi Dasar. Tenang aja sobat pembelajar soal matematika kelas 4 SD Tema FPB dan KPK ini sudah ada kunci jawabannya juga loh.
RENCANA PELAKSANAAN PEMBELAJARAN RPP Nama Sekolah. RPP Silabus Prota Prosem KKM SKKD KTSP 2006 SD Kelas 5 Pengembangan Media Pembelajaran Program Macromedia Authorware 70 Pada Mata Pelajaran Matematika Kelas V Di SDN Balun 3 Kecamatan Cepu Kabupaten Blora Tahun Ajaran 2010 2011 PENDAHULUAN Peningkatan Kualitas Pembelajaran dengan PAKEM Mata Pelajaran Matematika Kelas 4. Continue to update rpp kurikulum 2019 prakarya smk kerajinan xi revisi SMP KuriKulum rpp bahasa inggris smp kelas 7 semester 1 kurikulum 2018 revisi Download gratis RPP K13 SD Kelas 5 Revisi Baru 2017 2018 lengkap RPP Prakarya Kelas 7 SMP Revisi.
Menggunakan sifat-sifat operasi hitung termasuk operasi campuran FPB dan KPK II. Matematika SD untuk Kelas V 5 B Esis Matematika Progesif Teks Utama SD Kelas 5 White board papan tulis spidol kapur dan penghapus papan tulis I. Rpp matematika fpb dan kpk berikut ini adalah rpp matematika fpb dan kpk yang bisa anda download secara gratis di website kami.
AlatBahanSumber Belajar Buku Pelajaran Matematika untuk Sekolah Dasar Kelas 6. Rpp matematika kelas 5 sd kpk dan fpb. 2 x 35 menit Standar Kompetensi.
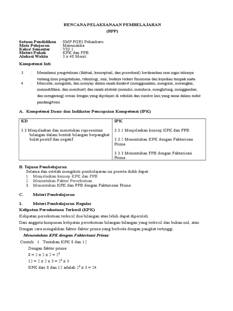
RPP Kurikulum 2013 Poin penting dari penyusunan RPP K13 matematika kelas 4 semester 1 dan 2 adalah pendidik dapat mengetahui rencana mengajar dan mengatur tahapan materi yang harus disampaikan pada peserta didik serta bisa mengatur alokasi waktu dalam jangka persemester. Pusat Perbukuan Departemen Pendidikan Nasional 2008. VII1 Materi Pokok.
Namun keberadaannya seringkali hanya dibiarkan s. VI1 Pertemuan Ke-. Untuk RPP Permata Pelajaran yang akan kami bagikan kali ini adalah Download RPP MTK 1 Lembar Kelas 4 Semester 1.
Tanaman kelor merupakan tanaman yang sudah dikenal secara luas oleh masyarakat Indonesia. V I Pertemuan Ke. Rpp Kelas 2 Matematika Ktsp.
Rpp kelas 2 ktsp Pada artikel sebelumnya kami telah membagikan beberapa artikel yang hampir sama dalam melengkapi administrasi guru terutama dalam perangkat. 5 Alokasi Waktu. Dakon Matematika materi ajar FPB dan KPK dengan kalender bekas spidol atau karton hias dakon dengan pita dan slinger.
Download rpp matematika kurikulum 2013 kelas 4 sd mi semester 1 revisi 2018 pada tahun pelajaran 2018 2019 ini matematika di sd kelas 4 5 dan 6 mengalami perubahan. Untuk biji-bijian buat 2 3 kumpulan biji dengan warna berbeda 1Hitam2Putih 3Kuning atau alternatif lain dengan kancing baju warna-warni jumlah secukupnya. Penilaian Indikator Pencapaian Kompetensi Teknik Penilaian Bentuk Instrumen Instrumen Soal o Menghitung masalah dengan rumus debit Tes performance kinerja dan lembar soal o Sebuah.
Matematika SD untuk Kelas VI 6A Esis Matematika Progesif Teks Utama SD Kelas 6 I. KPK dan FPB Alokasi Waktu. Melakukan Operasi Hitung Bilangan Bulat dalam pemecahan masalah.
2 x 35 menit A. 2 3 5 7 11 dll. Matematika Kelas Semester.
Melakukan operasi hitung bilangan bulat dalam pemecahan masalah. FPB dan KPK Sebelum memasuki materi ini lebih baik ingat kembali apakah itu bilangan prima faktor prima dan faktorisasi primaSeperti yang diketahui Bilangan prima adalah bilangan bulat lebih dari satu yang hanya bisa terbagi habis oleh 1 dan bilangan itu sendiri. Penilaian Indikator Pencapaian Kompetensi Teknik Penilaian Bentuk Instrumen Instrumen Soal o Menghitung masalah yang berkaitan denagn waktu jarak dan kecepatan Tugas IndVidu dan Kelompok Isian.
Faktor prima adalah faktor-faktor dari suatu bilangan yang berbentuk bilangan prima. Burhan Mustaqim Dkk MATEMATIKA SD KELAS IV SdMi Jakarta. Artikel Terkait RPP Matematika Kelas IV Tentang FPB dan KPK.
Tentu RPP satu Lembar Matematika Kelas IV SD ini memang cukup dinanti rekan rekan pendidik. 1 Alokasi Waktu. RPP 1 Lembar Matematika Kelas 4 SDMI Revisi 2020ini admin buat dalam bentuk MC Word agar rekan sahabat guru dapat mengeditnya sesuai kondisi keadaan sekolah anda.
Kurikulum 2013 tingkat Sekolah Dasar sudah berjalan cukup lama sehingga guru wajib memahami. Contoh RPP Matematika SD materi KPK dan FPB RENCANA PELAKSANAAN PEMBELAJARAN RPP Satuan Pendidikan. 2 x 35 Menit Standar Kompetensi.
33 Menjelaskan dan menentukan representasi bilangan dalam bentuk bilangan berpangkat bulat positif dan negatif. RPP 1 Lembar Matematika Kelas 5 SDMI Revisi 2020. Contoh RPP IPS SD kelas 3 materi lingkungan alam dan buatan.
CARA MENGKONSUMSI DAUN KELOR UNTUK MENGAMBIL MANFAATNYA. RENCANA PELAKSANAAN PEMBELAJARAN RPP MATEMATIKA KELAS V SEMESTER 1 Di susun oleh. Posting Lebih Baru Posting Lama Beranda.
RPP 1 Lembar Matematika Kelas 6 SDMI Revisi 2020. Al-Jihad Pontianak Mata Pelajaran. Abdul TalibSPd SDN NO13 ALLU I KECBANGKALA JENEPONTO 2010 Rencana Pelaksanaan Pembelajaran Mata Pelajaran.
Kpk Dan Fpb Kelas 4 Get Images
Rpp Matematika K13 Sd Kelas 4 Kd 3 6 Dan 4 6

Soal Matematika Kelas 6 Bilangan Bulat Pdf
![]()
Doc Rpp Matematika Kelas 7 Kurikulum 2013 Revisi Klik Https Rpp Kurikulum Blogspot Com 2019 01 Rpp Matematika Kelas7 Kurikulum 2013 Revisi Html Ruben Palanggay Academia Edu
Contoh Rpp Revisi Matematika Tentang Perkalian Dua Bilangan Pecahan Tahun 2021 2021 Ops Sekolah Kita

Download Rpp Matematika Kelas 5 K13 Semester 1 Tahun 2019 Info Pendidikan Terbaru
6 Rpp Kd 3 6 4 6 Mtk Kelas 4 Fpb Kpk Websiteedukasi Com Docx
Rpp Matematika Berkarakter Kelas 4 Sd Semester 1
![]()
4 5 Rpp Mate St Implementasi Fpb
Rpp Matematika Berkarakter Kelas Vi Sd Semester 1

Rpp Matematika Kelas 5 Semester 1 Kurikulum 2013 Revisi Terbaru Kunci Dunia

Contoh Rpp Matematika Kelas 4 Semester 1 Kurikulum 2013 Info Pendidikan Terbaru

Rpp Matematika Kelas 7 Kurtilas Semester 1 2014 2015
6 Rpp Kd 3 6 4 6 Mtk Kelas 4 Sem 1 Revisi 2017
![]()
Rpp Kelipatan Persekutuan Terkecil Kpk Kurikulum 2013

Rpp 1 Lembar Mtk Kelas 5 Sd Mi Antapedia Com

Rpp Matematika Kelas 4 Semester 1 Dan 2 Kurikulum 2013 Revisi 2018 Materiku
